RESOLUÇÃO DO EXAME DE ADMISSÃO DE QUÍMICA I – UEM 2021
1. Sobre catalisadores, são feitas as quatro afirmações seguintes:
I. São substâncias
que aumentam a velocidade de uma reacção.
II. Reduzem a
energia de activação da reacção
III. As reacções nas
quais actuam não ocorreriam nas suas ausências.
IV. Enzimas são
catalisadores biológicos
Dentre estas afirmações, estão correctas, apenas:
A I e II
B II e III
C I, II e III
D I, II e IV
E II, III e IV
RESOLUÇÃO
Os catalisadores são substâncias
que alteram a velocidade de uma reacção sem serem consumidas. Diz-se que estes
diminuem a energia de activação provocando o aumento da velocidade da reacção.
Análise dos itens:
I CORRECTO
II CORRECTO
III INCORRECTO
As reacções sem
catalisadores ocorrem só que a velocidade dessas reacções é muito menor,
portanto, na ausência de catalisadores são muito lentas, contudo ocorrem.
IV CORRECTO
Conclusão: I, II e IV
Resposta: alternativa: D
2. O monóxido de
nitrogénio reage com hidrogénio produzindo nitrogénio e vapor de água de acordo
com a seguinte equação:
2NO(g) + 2H2(g)
↔ N2(g) + 2H2O(g) Acredita-se que esta reacção
ocorra em duas etapas:
2NO(g) + H2(g)
↔ N2O(g) + H2O(g) (lenta)
N2O(g)
+ H2O(g) ↔ N2(g) + H2O(g)
(rápida)
De acordo com esse mecanismo, a expressão da velocidade
da reacção é:
A V = k [N2O] . [H2O]
B V = k [NO]2 . [H2]
C V = k [N2] . [H2O]2
D Nenhuma das alíneas está correcta
E V = k [NO]2. [H2]2
RESOLUÇÃO
As reacções químicas que
ocorrem em mais de uma etapa não são
elementares e nestes casos a velocidade da reacção depende apenas da etapa lenta.
Deste modo, a expressão
da lei cinética ou lei de velocidade é:
B V = k [NO]2 . [H2]
Resposta: alternativa: B
3. O mel contém uma mistura
complexa de carbohidratos, enzimas, aminoácidos, ácidos orgânicos, minerais,
etc. O teor de carboidratos é de cerca de 70% da sua massa, sendo a glicose e
frutose os açúcares em maior proporção. A sua acidez é atribuída à acção da
enzima glucose oxidase, que transforma a glicose em ácido glucónico e H2O2.
Abaixo temos a equação
química de decomposição do peróxido de hidrogénio, na qual temos a formação de
água líquida e oxigénio gasoso. Utilizando os dados da tabela fornecida,
calcule a velocidade média de decomposição do peróxido de hidrogénio entre 0 a
10 minutos.
H2O2(aq) → H2O(l) + ½O2(g)
|
Tempo |
H2O2 (mol/L) |
|
0 |
0,8 |
|
10 |
0,5 |
A 2.10-4 mol.L-1.s-1
B 3.10-4 mol.L-1.s-1
C 4.10-4 mol.L-1.s-1
D 5.10-4 mol.L-1.s-1
E 3.10-2 mol.L-1.s-1
RESOLUÇÃO
A velocidade média de uma reacção é definida como sendo a alteração (variação) da concentração de um dos reagentes ou produtos, em um intervalo de tempo.
Dado que é comum na Matemática usarmos o delta (∆) para indicar a variação, assim podemos escrever:
Onde:
- ∆ [ ] = Concentração final – Concentração inicial (∆ [ ] = [ ]final – [ ]inicial )
- ∆t = tempo final – tempo inicial (∆t = tfinal – tibicial )
Para o caso de um reagente a velocidade da reacção é dada por:
Vamos calcular:
Você até poderia
pensar que a alternativa correcta é E mas ela está errada. Note que acima calculamos a
velocidade média em mol.L-1.min-1 mas o
exercício pede para calcularmos a velocidade mol.L-1.s-1. Portanto,
antes de mais nada temos que converter o tempo dado em minutos para segundos:
Resposta: alternativa: D
4. Considerando o
equilíbrio: C(s) + CO2(g) ↔ 2CO(g) relevante,
por exemplo nos fornos siderúrgicos, o efeito da adição de mais C(s)
será:
A O aumento da
concentração de CO
B O aumento da
concentração de CO2
C Nulo
D A diminuição da
concentração de CO
E A diminuição da concentração de CO2
RESOLUÇÃO
Sabe-se que substâncias
no estado sólido têm concentração constante, assim, adição de C(s)
não tem efeito neste equilíbrio, ou seja, não provoca o deslocamento de
equilíbrio.
Resposta: alternativa: C
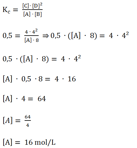
5. Para a reacção: A + B ↔ C + 2D, foram obtidas as seguintes concentrações molares no equilíbrio: [A] = 4,00; [B] = 3,00; [C] = 1,50; e [D] = 2,00. Com base nestes dados, calcule a concentração molar de A quando [B] = 8,00; [C] = 4,00 e [D] = 4,00.
A 0,80
B 0,50
C 1,50
D 9,00
E 16,00
RESOLUÇÃO
Primeiramente vamos
calcular a constante de equilíbrio. Lembrando que constante de
equilíbrio em função das concentrações (Kc) é o produto das concentrações dos
produtos, dividido pelo produto das concentrações dos reagentes onde cada
concentração está elevada ao seu coeficiente estequiométrico da equação química
devidamente acertada.
A + B ↔ C + 2D
A seguir vamos calcular a concentração molar de A:
Resposta: alternativa: E
6. Em solução aquosa, iões
cromato (CrO4)2-, de cor amarela, coexistem em equilíbrio
com iões dicromato (Cr2O7)2-, de cor
alaranjada, segundo a reacção:
2(CrO4)2-(aq) + 2H+(aq)
↔ (Cr2O7)2-(aq) + H2O(l)
A coloração alaranjada
torna-se mais intensa quando se:
A Adicionar OH-
B Diminui o pH
C Aumente a pressão
D Acrescenta mais água
E Acrescenta um catalisador
RESOLUÇÃO
Aqui aplicaremos o Princípio de Le Chatelier, que diz: “quando uma acção externa afecta um sistema
em equilíbrio, o equilíbrio desloca-se no sentido de minimizar ou anular esta
acção externa”
Análise das alternativas:
A INCORRECTA
A adição de OH-
favorece o consumo de iões H+ e o equilíbrio desloca-se para a
esquerda favorecendo a coloração amarela.
B CORRECTA
O equilíbrio desloca-se
para a direita. A diminuição de pH implica o aumento da concentração de iões H+
e o equilíbrio desloca-se para a direita favorecendo a cor alaranjada.
C INCORRECTA
A pressão não interfere
no equilíbrio, pois todos os componentes são soluções aquosas e não gases.
Assim, o equilíbrio não é deslocado para nenhum dos lados e portanto, a
coloração alaranjada não se altera.
D INCORRECTA
O equilíbrio não é
deslocado, pois a concentração da água líquida é constante, ou seja, não
interfere no equilíbrio e assim a coloração alaranjada não é alterada.
E INCORRECTA
O equilíbrio não é
deslocado pois o catalisador não provoca o deslocamento de equilíbrio, porém,
diminui o tempo para que este seja alcançado.
Resposta: alternativa: B
7. O produto iónico da água é igual a 4,0 ∙ 10-14. A essa temperatura, o valor de [H+] de uma solução aquosa neutra é:
A 0,6 ∙ 10-7
B 4,0 ∙ 10-7
C 4,0 ∙ 10-14
D 2,0 ∙ 10-7
E 2,0 ∙ 10-14
RESOLUÇÃO
Sabe-se que Kw
é dado por Kw = [H+]∙[OH-], assim, no equilíbrio
teremos [H+] = [OH-]:
Kw = [H+]∙[OH-]
4,0 ∙ 10-14 =
[H+]∙[OH-] ⇔ 4,0 ∙ 10-14 = [H+]2
[H+]2
= 4,0 ∙ 10-14 ⇒ [H+] = √(4,0 ∙ 10-14) ⇒ [H+] = 2,0 ∙ 10-7
Resposta: alternativa: D
8. Considere os seguintes
ácidos, os seus respectivos graus de ionização (a 18oC) e algumas
das suas utilizações:
H3PO4 (α = 27%)
usado na preparação de fertilizantes e em bebidas refrigerantes;
H2S (α = 7.6 x 10-2 %)
usado como redutor;
HClO4 (α = 97%) usado na medicina,
em análises químicas e como catalisador em explosivos;
HCN (α = 8 x 10-3 %) usado no
fabrico de plásticos, corantes, etc.
Qual das afirmações abaixo está
correcta:
A HClO4 e HCN
são triácidos
B H3PO4
e H2S são hidrácidos
C H3PO4
é um ácido não muito forte
D H2S é um
ácido ternário
E Todas as alternativas são verdadeiras
RESOLUÇÃO
Definições básicas:
Triácidos são ácidos que se ionizam libertando três iões H+.
Hidrácidos são ácidos que não contêm o oxigénio na molécula;
Ternários são ácidos que têm três elementos químicos diferentes na
sua constituição.
0% < α < 5% ⇒ ácido fraco
5% < α < 50% ⇒ ácido moderado
50% < α < 100% ⇒ ácido forte
Análise das alternativas:
A INCORRECTA
Como se vê estes ácidos
têm na sua constituição apenas 1 hidrogénio o que quer dizer que ionizam-se
libertando apenas um ião H+:
HClO4 (aq) → H+ (aq) + ClO4-(aq)
HCN (aq) → H+(aq) + CN-(aq)
As equações acima mostram claramente que estes ácidos libertam um ião H+
quando ionizados
pelo que são ácido monopróticos ou monoácidos
e não triácidos.
B INCORRECTA
O H3PO4
tem na sua constituição o elemento oxigénio o que significa que é um ácido
oxigenado e não hidrácido. Embora o H2S seja hidrácido, esta
alternativa fica incorrecta pelo facto de se afirmar que o H3PO4
é hidrácido.
C CORRECTA
Acima vimos que:
0% < α < 5% ⇒ ácidos fraco
5% < α < 50% ⇒ moderado
50% < α ≦ 100% ⇒ ácido forte
E o grau de ionização (α)
deste ácido é de 27%, portanto, enquadra-se no seguinte intervalo: 5% < α
<50%. Logo, este ácido é moderado, ou seja, não é muito forte.
D INCORRECTA
Na constituição deste
ácido temos o hidrogénio e o enxofre, logo temos dois elementos químicos
diferente o que significa que trata-se de um ácido binário e não ternário.
Seria ternário se tivesse três elementos químicos diferentes na sua
constituição.
E INCORRECTA
Apenas alternativa C é
que está correcta e não todas!
Resposta: alternativa: C
9. Seleccione das
opções abaixo, aquela que completa a frase:
“A qualquer temperatura, uma solução aquosa é considerada ácida se…”
A [H3O+]
= [OH-]
B [H3O+]
> [OH-]
C [H3O+]
< [OH-]
D [OH-]
= 1 x 10-7 mol/dm3
E [H3O+] ≠ [OH-]
RESOLUÇÃO
Sabe-se que:
[H3O+]
> [OH-] ⇒ solução ácida
[H3O+]
= [OH-] ⇒ solução neutra
[H3O+]
< [OH-] ⇒ solução alcalina ou básica
Resposta: alternativa: B
10. Uma solução 0,02
N de NH4OH, cujo grau de dissociação (α) é 1,34%, apresenta o pH
igual a:
Dado: log 2,68 = 0,43
A 4,43
B 10,43
C 10,00
D 9,67
E 13,43
RESOLUÇÃO
Equação de dissociação:
NH4OH(aq)
↔ NH4+(aq) + OH-(aq)
Como se vê temos 1 mol de
iões OH-.
Vamos “transformar” a concentração
normal para concentração molar:
N = M ∙ X ⇒ M = N / X ⇒ M = 0,02 N / 1 = 0,02
mol/L
Neste caso a concentração
de iões OH- é dada por: [OH-] = M ∙ α
α = 1,34% = 0,0134
[OH-] = M ∙ α
[OH-] = (0,02
mol/L) ∙ (0,0134)
[OH-] = 2,68 ∙
10-4 mol/L
Como trata-se de uma base
temos que calcular o pOH e só depois o pH:
|
Cálculo de pOH |
Cálculo de pH |
|
pOH = -log[OH-] pOH = -log(2,68 ∙
10-4) pOH = -(log 2,68 +
log 10-4) pOH = -(0,43 – 4) pOH = - 0,43 + 4 pOH = 3,57 |
pH + pOH = 14 pH = 14 – 3,57 pH = 10,43 |
Resposta: alternativa: B
Por: Miguel Pascoal
FIM
GOSTOU DESTA RESOLUÇÃO E QUERIA TER ACESSO A VERSÃO COMPLETA? CLIQUE
AQUI PARA COMPRAR A RESOLUÇÃO COMPLETA DESTE EXAME EM PDF
OU CONTACTE 846767922.
PARA BAIXAR OS ENUNCIADOS DOS EXAMES DE ADMISSÃO DE QUÍMICA EM PDF clique aqui.
full-width








3 Comentários
Super interessante, tem me ajudado muito.
ResponderEliminarGostava de saber se existe hum grupo de WhatsApp para preparação para exame de admissão
DEVERAS IMPRESSIONANTE
ResponderEliminarGostei desse resuloção de química
ResponderEliminar